Home> Blog> The Origin of Impedance Matching of 50 ohms in RF Design

The Origin of Impedance Matching of 50 ohms in RF Design

impedance
PCBONLINE Team Thur, Apr 09, 2020
12650

Why is it that in many Radio Frequency systems and components, most of the time the impedance is 50 ohms? ( Sometimes this value is even the default value for the  PCB board). Why not 60 ohms or 70 ohms? How is the value determined? What’s the meaning behind it? This article will help you to unlock the mystery.

We know that RF transmission needs an antenna and coaxial cable, and we always hope RF signals travel a longer distance. To transmit a longer distance, we often want to transmit a signal with a larger power to cover a larger communication range. But in fact, coaxial cable is lossless itself, just like the wires we normally use. If the transmission power is too large, the wires will heat up or even fuse. So there was an expectation that we would try to find a coaxial cable that could deliver high power with low loss.

RF cable

Around 1922, Bell Laboratory did many experiments and finally found that coaxial cables with the characteristic impedance of 30 ohms and 77 ohms were suitable for this kind of high-power transmission with low loss. Among them, 30 ohms coaxial cable can transmit the maximum power, and 77 ohms coaxial cable transmission signal loss is the minimum.

The arithmetic means the value of 30 ohms and 77 ohms is 53.5 ohms, and the geometric mean of 30 ohms and 70 ohms is 48 ohms. What we often call the 50-ohm system impedance is usually an engineering compromise between 53.5 ohms and 48 ohms, considering maximum power transmission and minimum loss as much as possible. Through practice, the system impedance of 50 ohms also matches with the port impedance of half-wavelength dipole aerial and quarter-wave monopole antennae, and the resulting reflection loss is minimal.

 

In our common systems, such as TV and broadcast receiving systems, the system impedance is 75 ohms. Because of the 75-ohm Radio Frequency transmission system, signal transmission loss is minimal. Signal transmission loss is an important consideration in TV and broadcast receiving systems. But as to the station with transmitters, 50 ohms is common. Because the maximum power transmission is the main factor we consider and the loss is also important. This is why our intercom system, we normally see the parameters as 50 ohms.

 

If the impedance is matched to 50 ohms, It can be mathematically rigorous. Any component, circuit, or wire has losses in practice, and design any system component has a certain Radio Frequency bandwidth. So match to 50 ohms, engineering just to ensure that all the brand internal frequency points fall to near 50 ohms. On the Smith circle diagram, it’s as close to the center of the circle as possible. Ensure that the Radio Frequency transmission signal in the band has no reflection loss ASAP. To obtain the maximum energy transmission.

Smith circuit disgram

Why do so many engineers like to use 50 ohms to do the impedance transmission of PCB ( Sometimes this value is even the default value for the PCB board ),  Why not 60 ohms or 70 ohms?

 

For a wire with a certain width, three major factors can affect the impedance of the PCB wire. First of all, EMI (electromagnetic interference) in the near field of PCB routing is proportional to the height of the reference plane. The lower the height, the smaller the radiation. Secondly, the crosstalk will vary significantly with the line height. If you reduce the height by half, the crosstalk will be reduced to nearly a quarter. Finally, the lower the height, the smaller the impedance, which is not easily affected by the capacitive load. All three factors allow the designer to keep the line as close to the reference as possible. What prevents you from dropping the line height to zero is that most chips cannot drive a transmission line with an impedance of fewer than 50 ohms. The exceptions to this rule are the Rambus, which can drive 27 ohms, and National’s BTL series, which can drive 17 ohms.

 

 

RF impedance affect factors

For example, the 8080 processor’s very old NMOS structure, which operates at 100KHz, has no EMI, crosstalk, and capacitive load problems, and it cannot drive 50 ohms. For this processor, high impedance means low power consumption, and you want to use thin, high lines with high impedance as much as possible. The pure perspective should also be considered. For example, in terms of density, the distance between layers of multilayer plates is very small, and the line-width process required for 70-ohm impedance is difficult to achieve. In this case, you should use 50  ohms, which has a wider line width and is easier to make.

 

What is the impedance of the coaxial cable? In Radio Frequency, the considerations are different from those in PCBs. But in the Radio Frequency industry, coaxial cable has the same impedance range. According to IEC publications(1976), 75 ohm is a common impedance standard for coaxial cables, because you can match some common antenna configurations. It also defines a 50-ohm cable based on solid-state polyethylene, because the skin effect of 50-ohm impedance is minimized for external shielding with a fixed diameter and a fixed dielectric constant of 2.2(the dielectric constant of solid-state polyethylene).

 

You can prove that 50 ohm is the best from basic physics. The skin effect loss L (in decibels) of the cable is proportional to the total skin effect resistance R (unit length) divided by the characteristic impedance Z0. The total skin effect resistance R is the sum of the shielding layer and the intermediate conductor resistance. The skin effect resistance of the shielding layer is inversely proportional to its diameter d2 at high frequencies. The skin effect resistance of the inner conductor of the coaxial cable is inversely proportional to its diameter d1 at high frequencies. The total series resistance R, therefore, is proportional to (1/d2 +1/d1). Combining these factors, given the dielectric constant ER of d2 and the corresponding isolation material, you can use the following formula to reduce skin loss.

RF PCB impedance formula 1

 

In any basic book of electromagnetic fields and microwaves, you can find Z0 is the function of d2, d1, and ER(Note: relative dielectric constant of insulation layer). 

RF PCB impedance formula 2

 

 

Put formula 2 into formula 1, multiply the numerator and denominator by d2, and we can get:

RF PCB impedance formula 3

 

Formula 3 separate the constant term (60)/ *(1/d2), effective item ((1+d2/d1 )/ln(d2/d1 )) to determine the minimum point. The minimal value point of formula 3 is only controlled by d2/d1, independent of ER and fixed value d2. Taking d2/d1 as the parameter, make a graph for L, showing that when d2/d1=3.5911(note:  solve a transcendental equation), get the minimum value. Assuming that the dielectric constant of solid polyethylene is 2.25, d2/d1=3.5911, the characteristic impedance is 51.1 ohms. A long time ago, radio engineers used this value, approximately 50 ohms, as the optimal value for coaxial cable for the case of use. This proves that L is the smallest around 0 ohm. But it doesn’t affect your use of other impedance. For example, if you make a 75-ohm cable with the same shielding layer diameter (note: d2) and insulator(note: ER). The skin loss will increase by 12%. For different insulators, the optimal impedance generated by the optimal d2/d1 ratio will be slightly different (note: for example, the air insulation corresponds to about 77 ohms, the engineering value of 75 ohms is convenient to use).

 

Other additions: the above derivation also explains why 75 ohm TV cable cut surface is a lotus root hollow-core structure and the 50-ohm communication cable is solid core. Another important tip, as long as the economic situation permits, as far as possible to choose a large outside diameter cable (note: d2), in addition to improving the strength, the main reason is that the larger the outside diameter, the larger the inside diameter (the optimal diameter ratio d2/d1), of course, the conductor of RF loss is smaller.

 

Why is 50 ohms the impedance standard of an RF transmission line? One of the most popular versions of the story comes from Harmon Banning In the early days of microwave application, during World War II, impedance selection was entirely dependent on the need for use. On the other hand, the impedance of the lowest loss air fill line is 93 ohms. In those years, for higher frequencies that were rarely used, there were no flexible cables, just rigid tubes that filled the air medium. Semi-rigid cables were invented in the early 1950s, and true microwave flexible cables were around 10 years later. As technology advances, impedance standards need to be given to striking a balance between economy and convenience. In America, 50 ohms is a compromise; To solve these problems for the joint army and navy, an organization called JAN was formed, later DESC, specially developed by the MIL. Europe chose 60 ohms. The most common conduit used in the United States is an existing rod and pipe connection, 51.5 ohms being very common. It is strange to see and use 50 ohms to 51.5-ohm adapters/converters. The 50 ohms won out, and special tubes were made (or the fitters changed the diameter of their tubes slightly). Before long, Europeans were forced to change under the influence of dominant firms such as Hewlett-Packard. 75 ohms is the standard for telecommunication, with a minimum loss of 77 ohms due to the medium filling line. 93 ohms have been used for short connections, such as connecting computer mainframes and monitors, which feature low capacitance, reducing circuit load, and allowing longer connections; Interested readers can refer to volume 9 of the MIT RadLab Series for a more detailed description.

 

 

Impedance matching in RF circuit design

 

Impedance matching is the basic requirement of RF design and testing. Reflection of signals caused by impedance mismatches can cause serious problems.

 

Matching seems like trivial common sense when you are dealing with theoretical circuits that consist of ideal power supplies, transmission lines, and loads.

 

impedance distribution 1

 

Assume that the load impedance ZL is fixed. We need to include a source impedance(ZS) equal to ZL, and then design the transmission line so that its characteristic impedance(ZO) is also equal to ZL.

 

But, let’s consider for a moment the difficulty of implementing this solution in a complex RF(radio frequency) circuit consisting of many passive components and integrated circuits. If the engineer has to modify each component and specify the size of each microstrip based on the impedance selected as the basis for all other impedances.

 

In addition, this assumes that the project has entered the PCB phase. What if we want to use discrete modules to test and characterize the system using off-the-shelf

cables as interconnections? In this case, compensating for mismatched impedance is more impractical.

 

The solution is simple: Choose a standard impedance that can be used in many RF(radio frequency) systems and ensure that the corresponding design components and cables, etc., have chosen this impedance: the industry has chosen this standard impedance in ohms and the number is 50.

 

50 Ω (ohm)

 

The first thing to understand is, that for 50 Ω impedance, there is nothing special. Although you may think, that if you spend enough time working with RF engineers, you will feel that it isn’t a fundamental constant. It is not even a fundamental constant of an electrical engineer, for example, remember that simply changing the physical size of a coaxial cable changes its characteristic impedance.

 

Despite this, 50 ohms is very important. Because most RF(radio frequency) systems are designed around this impedance. It’s hard to determine exactly why 50 Ω became the standard of RF(radio frequency) impedance, but can reasonably assume that finding 50 Ω under the condition of the coaxial cable of the early is a good compromise.

 

Of course, the important question isn’t the source of this particular value, but the benefit of having this normalized impedance. A perfectly matched design is much simpler because manufacturers of IC, fixed attenuators, antennas, and so on can consider this impedance to build their components. Furthermore, PCB layout becomes simpler because so many engineers have the common goal of designing microstrips and strip lines with a characteristic impedance of 50. 

50 ohm impedance 1

 

Application notes based on Analog Devices (MT-094.pdf), You can press the following way to create 50 Ω microstrip: 1 OZ copper, 20 mils wide go line, line, and the gap between the ground plane of 10 mils (assuming the dielectric material is RF-4).

 

Before continuing, we should understand that not each high-frequency system or component is designed for 50 Ω. Can choose other values 75 Ω impedance is still very common; The characteristic of coaxial cable is proportional to the natural logarithm of the ratio of its outer diameter (D2) to its inner diameter(D1).

 

50 ohm impedance 2

 

This means that the larger spacing between the inner and outer conductors corresponds to the higher impedance. The larger spacing between the two conductors also results in lower capacitance. Therefore, 75 Ω coaxial cable capacitance is lower than 50 Ω coaxial cable capacitance, this makes 75 Ω the cable more suitable for high-frequency digital signals. This signal requires a    low capacitance to avoid excessive attenuation of high-frequency content associated with a rapid transition between logic low and logic high.

 

Reflection coefficient:

 

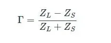
We are considering the importance of impedance matching in the RF design. We are not surprised to find that there is a specific parameter used to indicate the matching quality, called the reflection coefficient, the symbol for Γ (Greek capital letters gamma). It’s the ratio of the complex amplitude of the reflected wave to the complex amplitude of the incident wave. However, the relationship between the incident wave and the reflected wave is determined by the source impedance (ZS) and the load impedance(ZL), so the reflection coefficient can be defined as:

reflection coefficient 1

 

If the “source” is the transmission line, in this case, we can change ZS to Z0 and get the reflection coefficient as follows:

 

reflection coefficient 2

In a typical system, the size of the reflection coefficient is some number between 0 and 1. Let’s look at the three simplest cases mathematically to help us understand how the reflection coefficient corresponds to the actual circuit behavior:

a. If the match is perfect ( ZL=Z0 ), the numerator is zero, so the reflection coefficient is zero. This makes sense because a perfect match does not cause reflection.

b. If the load impedance is infinite ( i. e. open circuit, ZL= infinity), the reflection coefficient becomes infinity divided by infinity, i.e., 1, and the reflection coefficient of 1 corresponds to total reflection, i.e. all wave energy is reflected. This also makes sense, because a transmission line connected to an open circuit corresponds to a complete discontinuity(see the previous lecture). -- the load cannot absorb any energy, and therefore must be completely reflected.

C. the load impedance is zero (short circuit, ZL=0), the size of the reflection coefficient becomes Z0 divided by Z0. So we have a | Γ | = 1, it’s justified. Because a short circuit also corresponds to a complete discontinuity in impedance that cannot absorb any incident wave energy.

 

voltage standing wave ratio (VSWR)

Another parameter used to describe impedance matching is the voltage standing wave ratio (VSWR), which is defined as follows:

 

VSWR

From the point of view of the obtained standing wave(VSWR), VSWR is close to impedance matching. It conveys the ratio of the highest standing wave amplitude to the lowest standing wave amplitude. Many VSWR videos help you visualize the relationship between impedance mismatch and VSWR amplitude characteristics. The following figure shows the VSWR characteristics of three different reflection coefficients.

VSWR waveform

The waveform in three VSWR cases: greater impedance mismatch leads to greater differences between the highest and lowest amplitude positions along with the standing wave.

 

VSWR is usually expressed as the ratio: A perfect match would be 1:1, meaning that the peak amplitude of the signal is always the same ( There is no standing wave). A ratio of 2:1 indicates that the reflection has resulted in a standing wave whose maximum amplitude is twice its minimum amplitude.

 

Conclusion:

1. The use of standardized impedance makes RF design more practical and efficient.

2.  Most of the impedance of the RF system is 50 Ω. Some systems use 75 Ω. The latter value is more suitable for high-speed digital signals.

3.  The quality of the impedance matching can be achieved by the reflection coefficient ( Γ ) said in math. Match exactly corresponds to Γ =0, and completely discontinuous (including all the energy is reflected) corresponds to Γ =1.

4.  Another method of quantifying the quality of impedance matching is the voltage standing wave ratio(VSWR).

GET A FREE QUOTE

File Upload