Home> Blog> PCB Antenna: What is It and How to Calculate Parameters

PCB Antenna: What is It and How to Calculate Parameters

PCB antenna
PCBONLINE Team Wed, Mar 24, 2021
24734

What is a PCB antenna?

PCB antenna is a transducer converting current waves into electromagnetic (EM) waves in a high-frequency PCB. PCB antennas convert current in high frequency into EM waves that propagate into the air.

There are two PCB antennas in a high-frequency PCB. They are embedded into the PCB as the etched copper structure. One antenna acts as the radio frequency signal transmitted, and the other acts as the reflected RF signal receiver. The high-frequency circuit generates RF waves and evaluates the reflected RF wave signals, and the circuit board's base materials transmit the signals to the PCB antenna. The PCB antennas and the high-frequency circuit make up the complete RF system of the high-frequency PCB.

As the size of the PCB antenna is designed to be very compact and smaller in size, to increase efficiency, several microstrip patches are combined to achieve the desired gain from the minimized size of the antenna. Patch size directly depends on the wavelength of the target operating frequency.

PCB antennas mostly discussed are omnidirectional, directional, and semi-directional antennas. An omnidirectional antenna can transmit its signals in all directions, but a directional antenna has only a single direction where the signal is needed. Semi-directional is specified with a fixed angle where the signal will propagate.

Next question: How does a PCB antenna work?

To completely understand the working of PCB antennas, one must have some knowledge of Impedance matching and resonance circuits. In simple terms, to achieve maximum efficiency, the source impedance and load impedance must have to be equal.

Want to make it clear all in one article? Well, let's learn the ABC first.

Types of Antennas

A high-frequency PCB is developed from antennas and PCB antennas are embedded in it. To understand the workings of PCB antennas, one must know different types of antennas. we will discuss them one by one below.

a- The Loop antenna

loop antenna

The simplest type of PCB antenna is the loop antenna. Its simple closed loop of PCB board is connected with receiver or transmitter terminals. This antenna may look like a round or rectangular loop. The efficiency of this antenna depends upon the size of the loop and the copper material used in its design. When compared with the wavelength, the loop antennas are too inefficient, so they are not used for transmission but can be used as receptors.

As the loop antenna has a directional pattern, it is used to find the transmitter also called radio direction finding (RDF). One must attach a capacitor in parallel with the antenna to resonate at the operating frequency. As discussed earlier, an impedance-matching network is essential to achieve maximum efficiency.

b- The Patch antenna

patch antenna

The patch antenna looks like a rectangular or circular patch of copper on the PCB. The span of the patch antenna is about one-half of the wavelength of radio waves. The practicality of patch antenna is at microwave frequencies because short wavelengths help to design small-size patches. Thanks to its ease of design on printed circuit boards, portable devices using wireless functionality mostly use patch antennas.

Planar inverted type of antenna is a variant of the patch antenna. Its strong radiations can be observed perpendicular to the patch. WLAN antennas and phased arrays both use this type of antenna to have maximum gain with narrow beamwidth. There is a bandwidth problem in this type, but by using a thicker dielectric between the patch and ground plane, the bandwidth of the Patch antenna can be increased.

c- The Inverted-F

inverted F antenna

Our cell phones and WLAN hardware mostly use the Inverted-F type of PCB antenna. This is an omnidirectional antenna having a large ground plane for maximum efficiency. Some part of the F patch does not use copper but is a plane surface in this type of PCB antenna, which helps to expand the antenna's bandwidth.

A Monopole antenna is used in this type, which runs parallel to the ground plane and the other end is grounded. This antenna has two advantages on the monopole. One is its shorter size or compactness. The other is that its impedance matching is controlled by designers, so we do not need external matching components for impedance matching.

d- The Meander Line Antenna

This antenna construction is done by folding the conductors back and forth so that the antenna can be made shorter. This design results in a smaller compact size but with the loss of radiation resistance, efficiency, and decrease in bandwidth. Multiple experiments are performed to select the best combination for a specific application. External components are necessary for Impedance matching.

e- The Slot Antenna

slot antenna

The last type of Antenna on the list is the slot antenna. Named a slot antenna because of its construction, which includes a metal plate having many slots or cuts in it. The magnetic and electric fields in slot antenna are opposite as in dipole. The applications of slot antennas are in aircraft radars and phased arrays.

PCB antenna's Basic Formulas

The wavelength, antenna length, and frequency depend on each other during antenna work. The relation between Time and frequency is given as

T = 1/f

Where f = frequency, T = time

To operate an antenna at 50 MHZ, time will be calculated as

T = 1/f = 0.2uS

For a specific frequency of 50MHz, the wavelength of an antenna is calculated using the below formula.

λ = c/f

where c = speed of light, λ = 3*(10) ^8 / 50*(10) ^6 = 6 m

Some parameters should be defined earlier before designing an antenna, which includes substrate selection, operating frequency selection, and calculation of the length and width of the substrate. After substrate dimensions calculation, the length and width of the trace are calculated.

PCB material has to be selected for maximum efficiency let's suppose our design considers FR4 material having a permeability of 4.4 for design. The height of the substrate can be calculated as

substrate height formula

Where Hs = substrate height, F = frequency (GHz), c = speed of light, ɛ = dielectric constant of substrate

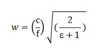
The width of the trace can be determined using the given formula.

antenna width trace

The length of the trace can be determined using the given formula.

antenna length trace

The microstrip width-to-depth ratio is determined by:

microstrip width

Where d = trace width, w = substrate width, A = effective Area

Antenna designing is a vast field having multiple parameters. We need to discuss it in more articles to make you thoroughly understand it. One should also consider the antenna design software because without learning antenna designing software, no one can fabricate a specific frequency antenna.

When you're done with PCB Antenna Designing

Have your PCB boards manufactured and assembled at PCBONLINE. Prototyping, small-batch, and large-volume high-frequency PCB manufacturing and assembly are all included in our services. We are an advanced circuitry contract manufacturer providing box builds.

antenna PCB manufacturer

By the way, you don't need to worry about PCB antenna or other design defects, as experienced engineers at PCBONLINE will check your Gerber files before quoting, with free one-to-one tech support! Send your requirements by email to sale@electronicsassemblers.com.


GET A FREE QUOTE

File Upload